Опубликовано 23 февраля 2014, 08:15

24 дюйма — не роскошь. Обзор монитора BenQ XL2411T

Цена Full HD мониторов уже давно не отпугивает покупателей, а поддержка таких технологий, как 3D Vision, не заставляет сердце замирать от восторга. К тому же выбор устройств подобного рода просто огромен! Сегодня вы узнаете, чем может порадовать своего потенциального владельца 24-дюймовый дисплей XL2411T производства компании BenQ
24 дюйма — не роскошь. Обзор монитора BenQ XL2411T

Мониторов, позиционируемых как геймерские, на рынке предостаточно. Основные требования, предъявляемые пользователями, — это малое время отклика, равномерная подсветка экрана, комфортное высокое разрешение и высокая частота обновления для работы в 3D-режиме. Как раз всеми этими качествами обладает XL2411T. Три различных интерфейса подключения, удобное крепление и наличие трех степеней свободы — создается впечатление, что этот монитор подойдет не только для игр, но и для любых других задач. Кроме того, программный комплекс включает множество фишек, о которых мы поговорим позже.

Внешний вид BenQ XL2411T

Внешний вид BenQ XL2411T

Технические характеристики

 BenQ XL2411TASUS VG248QEPhilips 242G5DJEB/00
Тип матрицыTNTNTN
Реальное разрешение1920x10801920x10801920x1080
Яркость350 кд/м2350 кд/м2350 кд/м2
Контрастность1000:180000000:1 (динамическая)80000000:1 (динамическая)
Цветовая палитра16,7 млн цветов16,7 млн цветов16,7 млн цветов
Время отклика1 мс GTG1 мс GTG1 мс GTG
Формат изображения16:916:916:9
Шаг пикселей0,276 мм0,276 мм0,276 мм
ИнтерфейсыD-sub DVI-DL HDMI Выход на наушникиDisplayPort DVI-D HDMI Выход на наушникиD-Sub DisplayPort DVI-D HDMI 4х USB 3.0
Потребляемая мощность22 Вт45 Вт18,5 Вт
Габариты431x570x223 мм570x500x231 мм565x517x220 мм
Масса6,0 кг5,5 кг6,27 кг
Ориентировочная стоимость10 900 руб.14 200 руб.13 900 руб.
Уточненная цена по данным price.ru

XL2411T любопытен тем, что при невысокой цене обладает рядом замечательных качеств. Например, частота вертикальной развертки составляет 144 Гц, что заметно при работе в 3D. Кроме того, светодиодная подсветка делает монитор совершенно бесшумным и обеспечивает низкое энергопотребление, которое в активном режиме составляет всего 22 Вт. Дисплей имеет встроенный блок питания, что гораздо удобнее. Особо стоит отметить наличие трех интерфейсов подключения монитора: D-Sub, DVI и HDMI. Используя последний порт, можно передавать звук на монитор, а к нему, в свою очередь, подключить наушники. Это сделано специально для геймеров, которые гораздо чаще пользуются гарнитурой, нежели колонками.

Время отклика матрицы составляет 5 мс, а при от одного оттенка серого к другому — 1 мс.

I/O-панель BenQ XL2411T

I/O-панель BenQ XL2411T

BenQ XL2411T имеет встроенный блок питания

BenQ XL2411T имеет встроенный блок питания

Внешний вид и комплектация

В комплект поставки, помимо самого монитора, входит кабель питания, интерфейсные провода DVI и D-Sub, инструкции по установке и диск с драйверами.

Комплектация BenQ XL2411T

Комплектация BenQ XL2411T

Корпус монитора выполнен из матового пластика, поэтому отпечатки пальцев не будут так явно выделяться.

Для удобства пользователя сделано очень много, начиная от подсветки темных областей до эргономической подставки. Вместе с подставкой монитор весит около шести килограмм, что делает его довольно устойчивым. Кроме того, крепление подставки можно отсоединить и воспользоваться стандартным креплением VESA 100x100. Сама ножка имеет лифт, поэтому позволяет регулировать высоту монитора, а также поворачивать экран в двух плоскостях. В основании имеется небольшое углубление. Предусмотрено крепление кабелей, правда, выполнено оно из довольно тонкого пластика, и вряд ли выдержит большое количество толстых проводов.

Задний вид крепления с лифтом BenQ XL2411T

Задний вид крепления с лифтом BenQ XL2411T

На задней панели есть вентиляционная решетка и небольшое углубление, которое позволяет легко транспортировать девайс. Управлять настройками можно при помощи кнопок, расположенных в нижней правой части корпуса. Клавиши визуально неотличимы за исключением «батона» вкл/выкл. Светодиод, отвечающий за индикацию работы устройства, светит не слишком ярко и в темноте не акцентирует на себе внимание.

Разъем для подключения наушников на левом торце BenQ XL2411T

Разъем для подключения наушников на левом торце BenQ XL2411T

Кнопки работы с меню расположены справа внизу у BenQ XL2411T

Кнопки работы с меню расположены справа внизу у BenQ XL2411T

Тестирование

Начать тестирование было решено с изучения эргономики устройства. Покрутив монитор во всех плоскостях, мы удостоверились, что со свободой перемещения дисплея по всем трем осям у XL2411T всё в порядке. Поворот экрана влево и вправо возможен на 45 градусов, наклонять дисплей можно в зависимости от посадки пользователя.

Вес устройства сбалансирован достаточно точно.

Кнопки управления в правом нижнем углу не имеют какой-либо привязки к функциям, но соответствуют надписям в самом меню. Да, непривычно, но работать с ними гораздо удобнее. Особенно при плохой освещенности помещения.

Настройки монитора достаточно широки, имеющиеся профили позволят быстро выбрать комфортный режим работы. Готовые настройки достаточно близки к идеальным. Коррекция потребуется только при наличии хорошего колориметра.

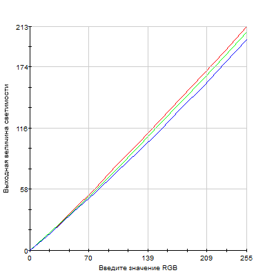
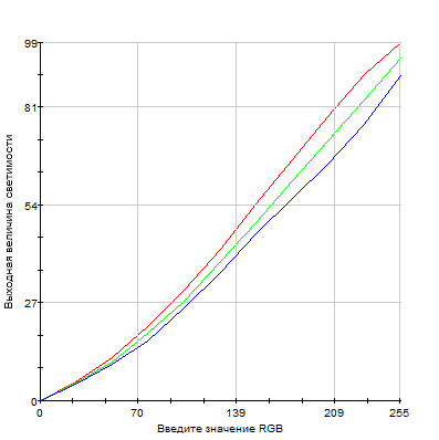
Для тестирования цветового охвата и освещенности дисплея мы воспользовались стандартным колориметром Spyder Elite4. Эталонные настройки устройства позволяют получить кривые коррекции, освещенности и массу дополнительных значений. Для более детального изучения XL2411T мы провели тестирование с использованием трех заготовленных профилей: FPS, sRGB и Standart.

BenQ XL2411T, цветовой охват sRGB составляет 96%

BenQ XL2411T, цветовой охват sRGB составляет 96%

BenQ XL2411T, кривые коррекции составляющих

BenQ XL2411T, кривые коррекции составляющих

BenQ XL2411T, градация светимости

BenQ XL2411T, градация светимости

BenQ XL2411T, равномерность цвета при максимальной яркости

BenQ XL2411T, равномерность цвета при максимальной яркости

BenQ XL2411T, равномерность цвета при яркости 83%

BenQ XL2411T, равномерность цвета при яркости 83%

BenQ XL2411T, равномерность цвета при яркости 67%

BenQ XL2411T, равномерность цвета при яркости 67%

BenQ XL2411T, равномерность цвета при яркости 50%

BenQ XL2411T, равномерность цвета при яркости 50%

BenQ XL2411T, равномерность светимости при максимальной яркости

BenQ XL2411T, равномерность светимости при максимальной яркости

BenQ XL2411T, равномерность светимости при яркости 83%

BenQ XL2411T, равномерность светимости при яркости 83%

BenQ XL2411T, равномерность светимости при яркости 67%

BenQ XL2411T, равномерность светимости при яркости 67%

BenQ XL2411T, равномерность светимости при яркости 50%

BenQ XL2411T, равномерность светимости при яркости 50%

BenQ XL2411T, точность передачи цветов

BenQ XL2411T, точность передачи цветов

BenQ XL2411T, яркость, контрастность и точка белого при различных настройках яркости

BenQ XL2411T, яркость, контрастность и точка белого при различных настройках яркости

На графиках отчетливо видно, что в стандартном режиме цветовой охват составляет 96% от sRGB. Кривые коррекции основных цветов несколько расходятся, но выглядят достаточно ровно, хотя и заметно, что цвета будут немного искажены. При проверке равномерности цвета также возникли вопросы к производителю. Так, наибольшее отклонение заметно между центром и левым верхним углом. При разной яркости эти значения несколько отличаются, но наиболее заметны они при 100% яркости. Надо отметить, что засветка экрана неравномерна по всей площади и среднее отклонение от центральной точки составляет около 13%. Верхние углы отличились не в лучшую сторону: 24% и 18% падения освещенности. Возможно, это не будет бросаться в глаза во время серфинга в Сети, но при просмотре красочных фотографий или фильмов такое падение может подпортить впечатление.

BenQ XL2411T, цветовой охват sRGB составляет 96%

BenQ XL2411T, цветовой охват sRGB составляет 96%

BenQ XL2411T, градация светимости

BenQ XL2411T, градация светимости

BenQ XL2411T, яркость, контрастность и точка белого при различных настройках

BenQ XL2411T, яркость, контрастность и точка белого при различных настройках

BenQ XL2411T, равномерность цвета при максимальной яркости

BenQ XL2411T, равномерность цвета при максимальной яркости

BenQ XL2411T, равномерность цвета при яркости 83%

BenQ XL2411T, равномерность цвета при яркости 83%

BenQ XL2411T, равномерность цвета при яркости 67%

BenQ XL2411T, равномерность цвета при яркости 67%

BenQ XL2411T, равномерность цвета при яркости 50%

BenQ XL2411T, равномерность цвета при яркости 50%

BenQ XL2411T, равномерность светимости при максимальной яркости

BenQ XL2411T, равномерность светимости при максимальной яркости

BenQ XL2411T, равномерность светимости при яркости 83%

BenQ XL2411T, равномерность светимости при яркости 83%

BenQ XL2411T, равномерность светимости при яркости 67%

BenQ XL2411T, равномерность светимости при яркости 67%

BenQ XL2411T, равномерность светимости при яркости 50%

BenQ XL2411T, равномерность светимости при яркости 50%

BenQ XL2411T, точность передачи цветов

BenQ XL2411T, точность передачи цветов

Если приглядеться к графику цветового охвата, то видно, что режим sRGB не уступает режиму Standart. Правда, здесь монитор демонстрирует лучшие показатели засвета, что выражено в более равномерном освещении фона. Цветопередача осталась на том же уровне.

BenQ XL2411T, цветовой охват sRGB составляет 95%

BenQ XL2411T, цветовой охват sRGB составляет 95%

BenQ XL2411T, кривые коррекции составляющих

BenQ XL2411T, кривые коррекции составляющих

BenQ XL2411T, измеренная гамма

BenQ XL2411T, измеренная гамма

BenQ XL2411T, яркость, контрастность и точка белого при различных настройках

BenQ XL2411T, яркость, контрастность и точка белого при различных настройках

BenQ XL2411T, равномерность цвета при максимальной яркости

BenQ XL2411T, равномерность цвета при максимальной яркости

BenQ XL2411T, равномерность цвета при яркости 83%

BenQ XL2411T, равномерность цвета при яркости 83%

BenQ XL2411T, равномерность цвета при яркости 67%

BenQ XL2411T, равномерность цвета при яркости 67%

BenQ XL2411T, равномерность цвета при яркости 50%

BenQ XL2411T, равномерность цвета при яркости 50%

BenQ XL2411T, равномерность светимости при максимальной яркости

BenQ XL2411T, равномерность светимости при максимальной яркости

BenQ XL2411T, равномерность светимости при яркости 83%

BenQ XL2411T, равномерность светимости при яркости 83%

BenQ XL2411T, равномерность светимости при яркости 67%

BenQ XL2411T, равномерность светимости при яркости 67%

BenQ XL2411T, равномерность светимости при яркости 50%

BenQ XL2411T, равномерность светимости при яркости 50%

BenQ XL2411T, точность передачи цветов

BenQ XL2411T, точность передачи цветов

Режим FPS1 обладает худшим цветовым охватом. Кривые цветов заметно отошли от идеальной диагонали. Что же касается равномерности цветов и освещенности, то значения достаточно адекватные, поэтому не будут вызывать негативных эмоций при работе или просмотре фильмов.

Если предполагается работа с фотографиями, то первым делом стоит обзавестись колориметром, чтобы откалибровать монитор для демонстрации настоящего цвета.

Конкуренты

ASUS VG248QE

VG248QE имеет аналогичную XL2411T матрицу. Мониторы очень схожи по ТТХ. Но не полностью. Например, монитор ASUS более выгодно смотрится за счет наличия разъема DisplayPort; подсветка у VG248QE выполнена лучше, экран засвечивается более равномерно, да и шлейф за контрастными объектами несколько меньше. Однако VG248QE и дороже.

ASUS VG248QE

ASUS VG248QE

Philips 242G5DJEB/00

Модель Philips имеет диагональ в те же 24 дюйма и заметно большее количество портов. Так, помимо видеовыходов, присутствует сразу четыре порта USB 3.0.

Как и у остальных конкурентов, подставка 242G5DJEB/00 позволяет регулировать экран по высоте, наклону и повороту.

Комфорт и простота настройки дополняются выносным проводным пультом, который облегчит переход между профилями, благодаря большим и удобным кнопкам. Ведь в темноте гораздо легче найти «лентяйку», чем маленькие клавиши на корпусе дисплея.

При этом цена 242G5DJEB/00 несколько выше XL2411T, но меньше VG248QE.

Philips 242G5DJEB/00

Philips 242G5DJEB/00

Выводы

Что ж, пришло время делать выводы. Надо сказать, что в плане эргономики XL2411T близок к пользовательскому идеалу. Подставка позволяет регулировать дисплей по высоте и наклону, есть поддержка портретного режима. Отметим использование качественных материалов, а также высокий уровень сборки.

Поддержка технологий NVIDIA 3D Vision 2 и LightBoost будет интересна в первую очередь геймерам. Правда, контроллер и очки придется покупать отдельно, но это все издержки, так как решения конкурентов стоят заметно дороже. В целом же у BenQ получился довольно удачный монитор с богатыми возможностями и качественным изображением.